Problem A: 【二维数组】计算三阶行列式的值

Problem A: 【二维数组】计算三阶行列式的值

Time Limit: 1 Sec  Memory Limit: 128 MB
Submit: 691  Solved: 444
[Submit] [Status] [Web Board] [Creator:]

Description

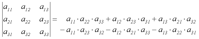
三阶行列式的值,可以理解为平行六面体的体积。计算三阶行列式可以使用如下公式


Input

输入三阶行列式,共三行三列,每个元素整数值,取值介于[-100,100]

Output

三阶行列式的值

Sample Input Copy

1 2 3
0 4 5
0 0 6

Sample Output Copy

24