Problem B: 【入门】根据边长计算三角形的面积

Problem B: 【入门】根据边长计算三角形的面积

Time Limit: 1 Sec  Memory Limit: 128 MB
Submit: 2408  Solved: 988
[Submit] [Status] [Web Board] [Creator:]

Description

输入三角形的三个边长A、B、C,计算并输出三角形的面积S(假设A、B、C满足构成三角形的条件) 

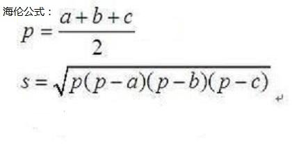
提示:根据三角形边长计算面积,可以使用海伦公式

Input

输入三边a、b、c,三条边均为整数

Output

输出面积,保留6位小数

Sample Input Copy

3 4 5

Sample Output Copy

6.000000