Description

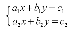
使用自定义函数void f(int a1, int b1, int c1, int a2, int b2, int c2,double *x,double *y); 求解二元一次方程组
函数的参数:a1、a2、b1、b2、c1、c2为方程组的系数,通过两个指针参数获得计算结果
Input
方程组的系数:a1、b1、c1、a2、b2、c2,均为正整数,且<1000
HINT
用于测试函数的源程序:
#include<stdio.h>
int main()
{
int a1, b1, c1, a2, b2, c2;
double x , y;
scanf("%d%d%d%d%d%d",&a1,&b1,&c1,&a2,&b2,&c2);
f(a1,b1,c1,a2,b2,c2,&x,&y);
printf("%f\n%f\n", x, y );
}