Problem F: 【函数】自定义平方根函数my_sqrt

Problem F: 【函数】自定义平方根函数my_sqrt

Time Limit: 1 Sec  Memory Limit: 128 MB
Submit: 573  Solved: 245
[Submit] [Status] [Web Board] [Creator:]

Description

本题要求实现一个利用牛顿迭代法计算平方根的简单函数。

函数接口定义:

double my_sqrt(double x);

其中x是用户传入的参数, x是非负数。

裁判测试程序样例:


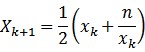
 牛顿迭代法公式如下 

        

         先假设一猜测值X0 = 1,然后根据以下公式求出X1,再将X1代入公式右边,继续求出X2…通过有效次迭代后即可求出n的平方根Xk+1 。要求保留小数点后面4位。

Input

测试数据有多组,处理到输入结束,每个输入都是非负实数。

Output

输出平方根,小数点后保留4位数字。每个输出占1行。

Sample Input Copy

2
3.532
4
5

Sample Output Copy

1.4142 
1.8794 
2.0000 
2.2361 

HINT

特别提醒,本题只需要提交指定的函数定义即可,主函数无需提交。