Toggle navigation
万里ACM
F.A.Qs
Web Board
ProblemSet
Source/Category
Status
Ranklist
Contest
[
ProblemSet
Status
Ranklist
OI Ranklist
Statistics
]
Login
Problem C: 使用递归函数计算组合数
Problem C: 使用递归函数计算组合数
Time Limit:
1 Sec
Memory Limit:
128 MB
Submit:
128
Solved:
67
[
Submit
] [
Status
] [
Web Board
] [Creator:
]
Description
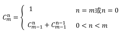
组合数的递归定义形式为
根据公式编写递归函数 int C(int m,int n);计算组合数
Input
两个整数m、n,满足0≤n≤m≤30
Output
组合数C(m,n)
Sample Input
Copy
10 5
Sample Output
Copy
252
HINT
用于测试函数的源程序:
#include<stdio.h>
int main()
{
int m,n;
scanf("%d%d",&m,&n);
printf("%d\n", C(m,n) );
}