Problem B: 【函数】组合数函数及阶乘函数

Problem B: 【函数】组合数函数及阶乘函数

Time Limit: 1 Sec  Memory Limit: 128 MB
Submit: 866  Solved: 466
[Submit] [Status] [Web Board] [Creator:]

Description

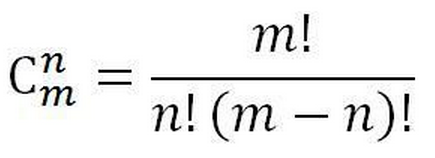
利用阶乘函数计算组合数

本题要求实现2个自定义函数:求组合数函数和求阶乘函数。

函数接口定义:

int comb(int m,int n);
int fac(int x);

裁判测试程序样例:

Input

测试数据有多组,处理到输入结束。

Output

每行一个输出结果。

Sample Input Copy

6 3
5 1

Sample Output Copy

20
5

HINT

特别提醒,本题只需要提交指定的函数定义即可,主函数无需提交。